登录/注册
  • 首页
  • 专业文章
  • RQ商城
  • 消息中心
  • 连接设备/上传记录
  • 登录 注册
首页 专业文章预测VS实际成绩-324超级比赛日深度分析

预测VS实际成绩-324超级比赛日深度分析

数据分析成绩预测马拉松比赛
作者:RQ教练 日期:2025-08-12 17:21:09 浏览:1602


对于RQrun用户而言,成绩预测是制定比赛目标和配速策略的主要参考之一;一些大型比赛过后,后台与小助手也经常收到用户们关于预测成绩的反馈。

为了使成绩预测更加接近实际成绩,RQrun在去年也陆续推出了“成绩达成率”、“环境影响”等进阶预测功能。


为什么有的人超常发挥,有的人则被“拉爆”?有什么办法可以使成绩预测更加准确?

时隔一个月,我们再次回顾03/24的超级比赛日(无锡、武汉、重庆)的RQrun用户数据,尝试回答这些大家都十分关心的话题。

article_img/2025-08-12/689b07270b1465517.jpg

图片来源于网络,侵删

成绩预测是理想值

打开RQrun APP,在分析 - 跑力页面,可以找到与“当前跑力”相对应的成绩预测。这里的各距离目标成绩是一个理想状态下全力发挥的预测值。回到实际赛道中,尤其在全马比赛中,相同跑力的两个跑者,由于过往经验、临场发挥的不同,成绩会围绕这个理想值产生一定的浮动。

article_img/2025-08-12/689b0a057c6207617.jpg

分析 - 跑力

我们观察超级比赛日超过5000名RQrun用户在比赛当天的当前跑力对应成绩与实际完赛成绩的关系,可以清楚地看出:整体上有较为显著的相关性;除了相对少数“超常发挥”的用户,大多数人的实际完赛成绩略低于预测成绩。

article_img/2025-08-12/689b0a164abf74909.jpg

超级比赛日RQrun用户当前跑力对应成绩与完赛成绩散点图

于是我们的问题是:是什么原因造成了这种偏差呢?

同样的距离,不同的环境

虽然全马距离都是42.195km,但是不同城市的赛道设计、比赛当天的天气情况,都会显著影响跑者的实际发挥。赛道设计可以通过路线图或者过往经验获得,而天气情况就只能看老天爷的心情了。

我们在“进阶成绩预测”中增加了“环境影响”功能,以覆盖环境因素所带来的影响。(分析-跑力-进阶成绩预测)

article_img/2025-08-12/689b0a2900d294738.jpg

在进阶成绩预测中,可以自行输入具体赛事的环境指标,观察成绩预测的变化

对比超级比赛日三场比赛开始时的温湿度、具体天气,以及全程的爬升作为衡量赛道难易程度的一个参照,可以看到:无锡马可以说是一马平川;武汉马的爬升略多,但也在正常范围内;重庆马爬升不多,但是当天气温较高,可能会影响跑者的发挥。

article_img/2025-08-12/689b0a38b4ce11195.jpg

三场比赛外部环境对比

天气数据来源:天气预报网站,温度与湿度为起跑时的状态。

爬升数据来源:根据参赛用户运动记录所上传的总爬升值,取中位数。

从配速均衡看三场比赛的环境影响

如何评估外部环境对实际表现的影响呢?在这里我们采用配速均衡作为参考。

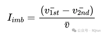
我们知道,越有经验的跑者,越能够应对各种复杂的外部情况,维持稳定的配速;而我们通常所说的“拉爆”,正是由于配速策略不够合理而导致前后配速失衡。配速均衡的计算方式如下:

article_img/2025-08-12/689b0a4a827ee7928.jpg

其中,v1st和v2nd分别代表前半段和后半段的平均速度,v代表全程的平均速度。Iimb越接近于0,说明用户在前后半段的配速越稳定。我们将参赛用户按照赛事、跑力进行了分组,分别计算Iimb系数,得出的结果如下图所示。

article_img/2025-08-12/689b0a5d100139662.jpg

三场比赛不同跑力分组下配速均衡指数对比

可以看到大多数跑者或多或少都有后半程掉速的情况(Iimb<0);更为直观的是,在三个跑力组别中,不同的赛事对Iimb的影响趋势是一致的:重庆马的跑者后程掉速最为明显,无锡马次之,武汉马的跑者反而在配速均衡上做的更好。

这跟我们赛后所搜集到的跑者反馈也是一致的。

成绩预测的前提:最大心率设置

另外一个用户们容易忽略的影响因素就是最大心率设置。

因为跑力的计算基于储备心率,对于相同的配速和心率,当最大心率设置过低时,储备心率偏高,会导致跑力被低估;相反地,最大心率设置过高时,跑力会被高估。也开发了一个进阶功能 —— 理论最大心率计算。

当系统算法检测到最大心率设置可能有偏差而导致跑力不准时,会自动进行理论最大心率的估算,由用户自行选择是否采纳。

最后让我们来看一下,如果将进阶的环境影响、理论最大心率修正纳入计算,重新估计出来的全马成绩变化:

article_img/2025-08-12/689b0a6fe22af4550.jpg

校正前后的成绩预测对比

将参赛用户的样本(X轴,n = 3550)按照实际成绩、比赛当天的当前跑力对应成绩以及校正之后的成绩预测三个指标,分别从小到大进行排列,并绘制成曲线。

可以看到,原始跑力的对应成绩时间要小于实际成绩(倾向于估计理想情况);但是在综合考虑了外部环境、最大心率设置等问题之后,得到的校正预测曲线进一步向实际成绩靠拢了。

如何使成绩预测更接近实际成绩呢?

在参考当前跑力对应的成绩之前,首先让自己的最大心率和静息心率设置尽可能接近真实值:静息心率可以通过多日早晨起床时,站立测量,最大心率则建议可以安排进行实际测试。


如果是白金会员,还可以使用进阶成绩预测,具体观察外部环境对成绩的影响:当预测成绩有较大幅度(5%以上)的增加时,建议可以重新审视下比赛的配速策略,确保起跑不超速,避免体能消耗过快,被自己拉爆。

如果还不是白金会员,那么赶紧查看一下攒了许久的RQ币,体验一下吧~


文 / RQ运科组-Rui

(1)
(3)
用户留言

最新文章
  • 功能 | 训练记录对比(官网)

    2025-12-17 17:31:01

  • 训练 | 跑步技术训练(下集)

    2025-12-12 09:42:40

  • 赛记 | 首尔马完赛,跑进330!

    2025-12-04 17:13:47

  • 功能 | APP新版本上线,小绿人Live来啦!

    2025-11-28 14:04:46

  • 训练 | 跑步技术训练(上集)

    2025-11-20 14:59:53

热门文章
  • 找到自己的心率区间

    浏览:76424

  • 训练状态|指数到多少最适合比赛?

    浏览:69228

  • 如何缩短触地时间?

    浏览:61728

  • 突破自我的最佳途径:间歇训练

    浏览:36983

  • 跑步时触地时间要多短才算好?

    浏览:34941

标签列表
  • 体能
  • 跑步技术
  • 训练
  • 案例
  • 补给
  • 运动伤害
  • 跑量
  • 力量训练
  • 饮食
  • PB
  • 运动心理
  • 马拉松比赛
  • 比赛策略
  • 完赛数据
  • 训练数据
  • 训练心得
  • 跑步训练
  • 跑前热身
  • R课表间歇训练
  • 跑后收操
  • 训练记录对比
关于我们 联系我们 常见问题 会员权益
微信公众号
小红书

下载 RQrun手机应用

App Store Android
Copyright © 2018-2025 东莞羽笙科技有限公司 版权所有
备案号:粤ICP备18076431号 服务条款 隐私权政策
回到顶部
常见问题 名词说明 联系客服